Skip to content
West Coast Extraction Systems website
Marine Specialists
West Coast Extraction Systems website
  • Home
  • About us
    • Team
    • Careers
  • Services
    • Request a Quote
    • Gallery
    • Before / After
    • U Can Cover
  • Contact
  • News
  • Home
  • About us
    • Team
    • Careers
  • Services
    • Request a Quote
    • Gallery
    • Before / After
    • U Can Cover
  • Contact
  • News

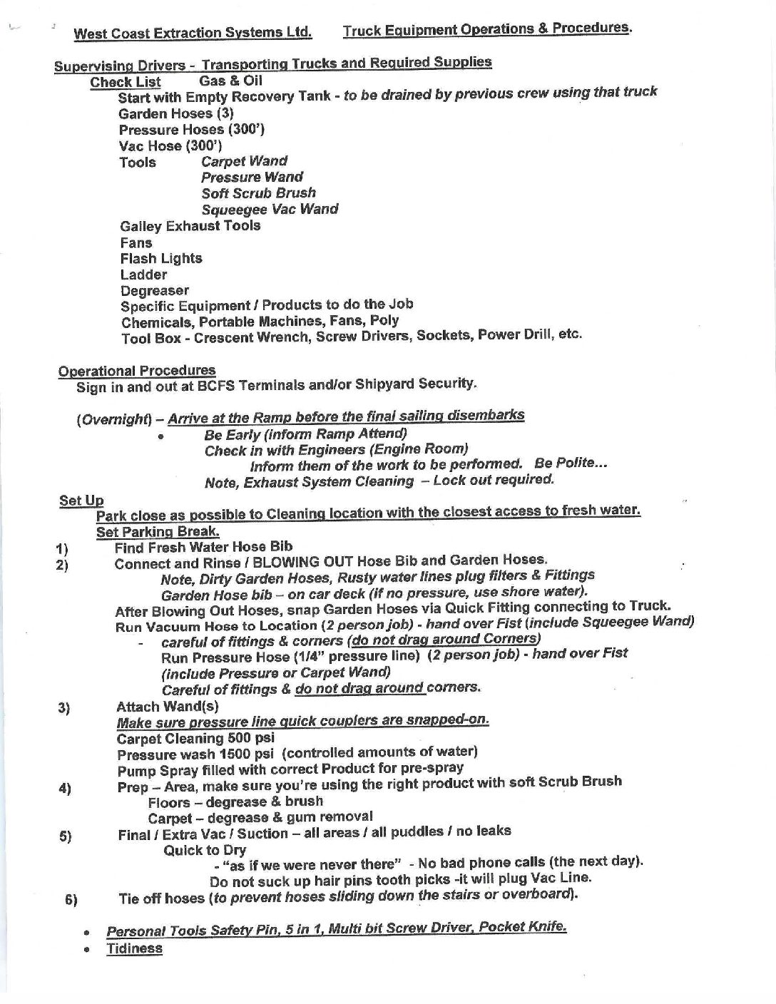
Drivers Operators

Click on the picture to see the whole document

Categories: Employee forms, Refit Supervisor FormsBy West Coast Extraction SystemsJanuary 13, 2020 1:13 PM
West Coast Extraction Systems Ltd.
5314-244th Street, Langley B.C.
V2Z 1H7, Canada
Phone: (604) 834 2795
westcoastextraction@outlook.com
West Coast Extraction Systems website
Go to Top